best365在线官网登录入口
欢迎进入
best365在线官网登录入口
兰大首页
OA系统
办事大厅
学院办公
English
首页
学院概况
学院介绍
组织机构
院徽院训
学院领导
学院地标
师资队伍
全职教师
教授
副教授
讲师
青年教授
按教师所在部门查看
基础数学研究所
计算数学研究所
应用数学研究所
运筹与控制研究所
概率统计研究所
综合办公室
团委、学生工作办公室
人才计划
名师风采
客座教授-兼职教授
离退休教师
科学研究
学科建设
科研项目
科研奖励
机构知识库
研究所
学术交流
招生工作
工作开展
报考流程
本科生教育
专业介绍
教学计划
日常管理
萃英班
暑期学校专栏
研究生教育
专业设置
指导教师
奖助体系
培养动态
实习就业
博士后
日常管理
人才招聘
校友之窗
校友动态
校友旧照
校友捐赠
校友专访
联系方式
通知公告
当前位置:
首页
>
通知公告
> 正文
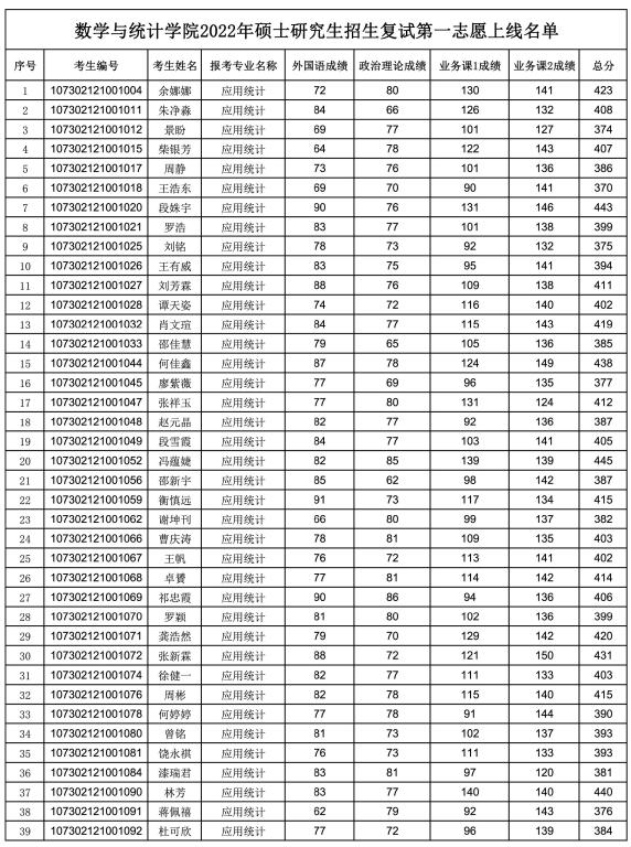
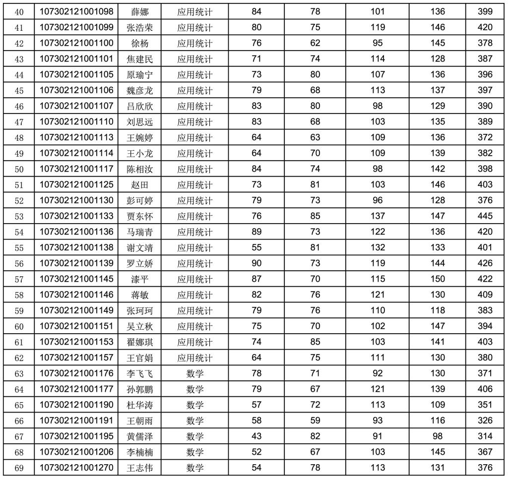
best365在线官网登录入口2022年硕士研究生招生复试第一志愿上线名单
日期:2022-03-22
点击数:次
上一篇:
best365在线官网登录入口2022年硕士研究生招生预调剂意向学生名单
下一篇:
best365在线官网登录入口 “教授开放日” 安排表( 第5周 -- 第8周 )